Tinubu Govt Withholds ₦131.5bn Osun LG Funds for 10 Months Despite Supreme Court Ruling
The Tinubu-led Federal Government has allegedly withheld ₦131.5 billion in local government allocations meant for Osun State for 10 months, despite a Supreme Court ruling declaring such action unlawful.
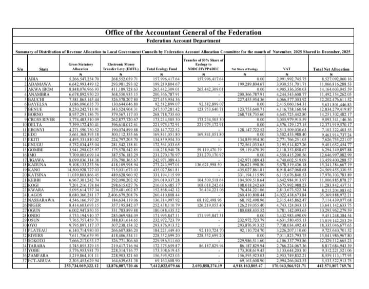
A review of FAAC data from the Office of the Accountant-General of the Federation shows that the unpaid funds cover the period from March to December 2025. The money was meant for Osun’s local governments to provide basic services at the grassroots.
Observers say the continued withholding of the funds has crippled local governance and raises serious concerns about respect for the rule of law.
How long will court judgments be ignored while citizens suffer?
#OsunState #Tinubu #FAAC #LocalGovernmentFunds #RuleOfLaw #NigeriaPolitics #Injustice
The Tinubu-led Federal Government has allegedly withheld ₦131.5 billion in local government allocations meant for Osun State for 10 months, despite a Supreme Court ruling declaring such action unlawful.
A review of FAAC data from the Office of the Accountant-General of the Federation shows that the unpaid funds cover the period from March to December 2025. The money was meant for Osun’s local governments to provide basic services at the grassroots.
Observers say the continued withholding of the funds has crippled local governance and raises serious concerns about respect for the rule of law.
How long will court judgments be ignored while citizens suffer?
#OsunState #Tinubu #FAAC #LocalGovernmentFunds #RuleOfLaw #NigeriaPolitics #Injustice
Tinubu Govt Withholds ₦131.5bn Osun LG Funds for 10 Months Despite Supreme Court Ruling
The Tinubu-led Federal Government has allegedly withheld ₦131.5 billion in local government allocations meant for Osun State for 10 months, despite a Supreme Court ruling declaring such action unlawful.
A review of FAAC data from the Office of the Accountant-General of the Federation shows that the unpaid funds cover the period from March to December 2025. The money was meant for Osun’s local governments to provide basic services at the grassroots.
Observers say the continued withholding of the funds has crippled local governance and raises serious concerns about respect for the rule of law.
How long will court judgments be ignored while citizens suffer? 🇳🇬🤔
#OsunState #Tinubu #FAAC #LocalGovernmentFunds #RuleOfLaw #NigeriaPolitics #Injustice
0 Comments
·0 Shares
·7K Views